Compuesto hidroxi de rabeprazol CAS 675198 - 19 - 3 Pureza> 99,0% (HPLC) Fábrica
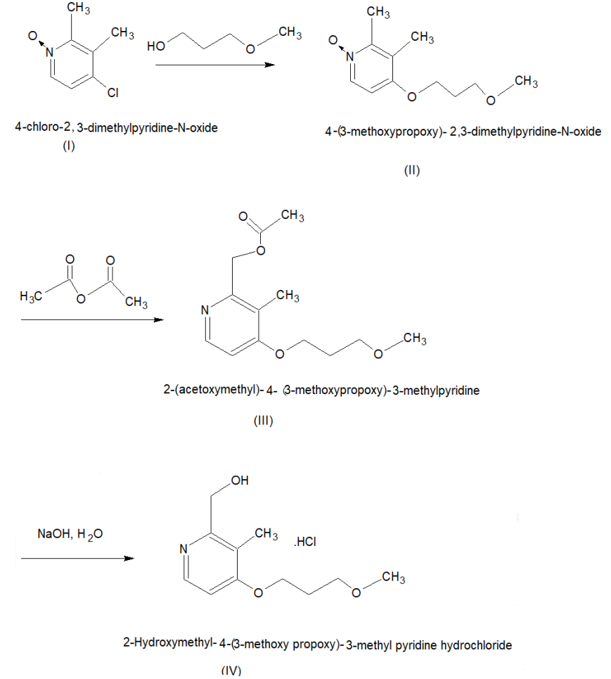
Shanghai Ruifu Chemical es el fabricante líder de clorhidrato de [4-(3-Metioxipropoxi)-3-Metil-2-piridinil]metanol (compuesto hidroxi de rabeprazol) (CAS: 675198-19-3) con alta calidad, intermedio de rebeprazol sódico (CAS: 117976-90-6). Ruifu Chemical ofrece intermedios farmacéuticos e ingredientes farmacéuticos activos (API) avanzados y de alta calidad.
Ruifu Chemical puede ofrecer entregas en todo el mundo, precios competitivos, excelente servicio y cantidades pequeñas y al por mayor disponibles. Compre intermedios de rabeprazol sódico, Por favor contacte: alvin@ruifuchem.com
| Nombre químico | [4-(3-Metioxipropoxi)-3-Metil-2-Piridinil]metanol Clorhidrato |
| Sinónimos | Compuesto Hidroxi De Rabeprazol; Clorhidrato de (4-(3-metoxipropoxi)-3-metilpiridina-2-il)metanol; 4-(3-Metoxipropoxi)-3-Metilpiridina-2-Clorhidrato de metanol |
| Número CAS | 675198-19-3 |
| Estado del stock | En stock, la producción aumenta hasta toneladas |
| Fórmula molecular | C11H18ClNO3 |
| Peso Molecular | 247,72 |
| COA y MSDS | Disponible |
| Origen del producto | Shanghái, China |
| Vida útil | 24 meses cuando se almacena correctamente |
| Categorías de productos | Intermedios farmacéuticos |
| Marca | Química Ruifu |
| Artículo | Especificaciones | Resultados |
| Apariencia | Polvo cristalino amarillo claro | Polvo cristalino amarillo claro |
| Método de ensayo/análisis | >99,0% (HPLC) | 99,7% |
| Pérdida por secado | <0,50% | 0,23% |
| Residuo en el encendido | <0,20% | 0,06% |
| Cualquier impureza | <0,50% | <0,50% |
| Impurezas totales | <0,50% | 0,30% |
| Metales pesados (como Pb) | <20 ppm | <20 ppm |
| Conclusión | El producto ha sido probado y cumple con las especificaciones dadas. | |
| Uso | Intermedio de rebeprazol sódico (CAS: 117976-90-6) | |
Paquete: Botella, bolsa de papel de aluminio, 25 kg/tambor de cartón, o según los requisitos del cliente.
Condición de almacenamiento:Almacenar en recipientes sellados en lugar fresco y seco; Proteger de la luz y la humedad.


[4-(3-Metioxipropoxi)-3-Metil-2-Piridinil]metanol clorhidrato, compuesto hidroxi de rabeprazol, (CAS: 675198-19-3) es un intermedio del rebeprazol sódico (CAS: 117976-90-6). El cancro de rabeprazol sódico azol es una clase de inhibidores de la bomba de protones que toman los medicamentos, para la forma de sal sódica de ray Bella azol, desarrollado por primera vez con éxito por la compañía japonesa Eisai, nombre del producto para la fuerza de onda, el papel de los inhibidores de la bomba de protones es reducir la secreción de ácido gástrico de áreas estables de enfermedad, para curar las úlceras estomacales y duodenales y el efecto de la regurgitación del esófago estomacal. Se utiliza principalmente en el tratamiento clínico de enfermedades relacionadas con el ácido, como la selección de úlcera gástrica y duodenal, úlcera péptica, enfermedad por reflujo gastroesofágico, síndrome de zhuoye, etc. El rebeprazol sódico tiene un inicio de acción más rápido en comparación con el omeprazol, pero una duración de acción más corta. El rabeprazol es un sustituto del bencimidazol que inhibe la secreción de ácido gástrico al unirse a la bomba de protones de las células parietales gástricas. Este producto inhibe la acción del trifosfato de adenosina, una enzima clave en la producción de ácido gástrico. Puede inhibir la secreción de ácido gástrico básico y ácido gástrico causada por la estimulación.





