Precio de fábrica (4S)-3-[(5S)-5-(4-fluorofenil)-5-hidroxipentanoil]-4-fenil-1 3-oxazolidin-2-ona - 4-(4-Aminofenil)morfolina-3-One CAS 438056-69-0 Rivaroxaban Intermedio – Ruifu
Precio de fábrica (4S)-3-[(5S)-5-(4-fluorofenil)-5-hidroxipentanoil]-4-fenil-1 3-oxazolidin-2-ona - 4-(4-Aminofenil)morfolina-3-One CAS 438056-69-0 Rivaroxaban Intermedio - RuifuDetalle:
Fabricante con alta pureza y precio competitivo
Suministro comercial Rivaroxabán (CAS: 366789-02-8) Intermedios relacionados:
(S)-(+)-Glicidil ftalimida CAS: 161596-47-0
4-(4-Aminofenil)morfolina-3-ona CAS: 438056-69-0
2-[(2R)-2-Hidroxi-3-[[4-(3-oxo-4-morfolinil)fenil]amino]propil]-1H-isoindol-1,3(2H)-diona 446292-07-5
5-Clorotiofeno-2-ácido carboxílico CAS: 24065-33-6
Rivaroxabán CAS: 366789-02-8
| Nombre químico | 4-(4-Aminofenil)morfolina-3-ona |
| Número CAS | 438056-69-0 |
| Número de gato | RF-PI129 |
| Estado del stock | En stock, la producción aumenta hasta toneladas |
| Fórmula molecular | C10H12N2O2 |
| Peso Molecular | 192.21 |
| Marca | Química Ruifu |
| Artículo | Especificaciones |
| Apariencia | Polvo cristalino de color blanco a amarillo claro o marrón claro |
| Método de pureza/análisis | ≥99,0% (HPLC) |
| Punto de fusión | 165,0~175,0°C |
| Identificación | RMN |
| Humedad (K.F) | ≤1,0% |
| Pérdida por secado | ≤0,50% |
| Residuo en el encendido | ≤0,10% |
| Impureza única máxima | ≤0,50% |
| Impurezas totales | ≤1,5% |
| Estándar de prueba | Estándar empresarial |
| Uso | Rivaroxabán (CAS: 366789-02-8) Intermedio |
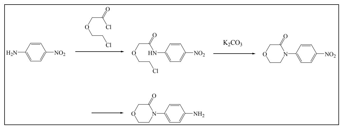
4-(4-Aminofenil)morfolina-3-ona CAS: 438056-69-0 Ruta de síntesis
Paquete: Botella, bolsa de papel de aluminio, tambor de cartón, 25 kg/tambor, o según los requisitos del cliente.
Condición de almacenamiento:Almacenar en recipientes sellados en lugar fresco y seco; Proteger de la luz, la humedad y las plagas.


Shanghai Ruifu Chemical Co., Ltd. es el fabricante y proveedor líder de 4-(4-Aminofenil)morfolin-3-ona (CAS: 438056-69-0) con alta calidad, es un intermediario típico en la síntesis de Rivaroxaban (CAS: 366789-02-8).
Rivaroxaban (Xarelto; CAS: 366789-02-8) es un nuevo inhibidor oral directo del factor Xa (FXa) en etapa tardía de desarrollo para la prevención y el tratamiento de trastornos tromboembólicos. Rivaroxaban también inhibe la actividad protrombinasa con una CI50 de 2,1 nM. Rivaroxaban también muestra una afinidad similar por el FXa humano y de conejo purificado (IC50 0,7 nM y 0,8 nM, respectivamente), pero una potencia menor contra el FXa purificado de rata (IC50 3,4 nM). El FXa endógeno humano y de conejo en plasma es inhibido en un grado similar por Rivaroxaban (IC50 21 nM y 21 nM, respectivamente), mientras que se requieren concentraciones 14 veces mayores en plasma de rata (IC50 290 nM). Rivaroxaban exhibe una alta permeabilidad y transporte polarizado a través de células Caco-2 como sustrato de la P-gp, pero no muestra ningún efecto inhibidor sobre el transporte de fármacos mediado por P-gp-hasta concentraciones de 100 μM in vitro.
Imágenes de detalles del producto:
![Factory Price (4S)-3-[(5S)-5-(4-Fluorophenyl)-5-hydroxypentanoyl]-4-phenyl-1 3-oxazolidin-2-one - 4-(4-Aminophenyl)morpholin-3-One CAS 438056-69-0 Rivaroxaban Intermediate – Ruifu detail pictures](/upload/image/products/e2fc83561.jpg)
Guía de productos relacionados:
Insistimos en ofrecer creación de alta calidad con un concepto empresarial superior, ingresos honestos y el mejor y más rápido servicio. No solo le brindará una solución de alta calidad y enormes ganancias, sino que lo más importante es ocupar el interminable mercado de Precio de fábrica (4S)-3-[(5S)-5-(4-Fluorofenil)-5-hidroxipentanoil]-4-fenil-1 3-oxazolidin-2-one - 4-(4-Aminofenil)morfolina-3-One CAS 438056-69-0 Rivaroxaban Intermedio - Ruifu. El producto se suministrará a todo el mundo, como: Singapur, Marsella, República Checa. Nuestros productos son ampliamente reconocidos y confiables por los usuarios y pueden satisfacer necesidades económicas y sociales en continuo desarrollo. ¡Damos la bienvenida a clientes nuevos y antiguos de todos los ámbitos de la vida a contactarnos para futuras relaciones comerciales y lograr el éxito mutuo!




