Dextrano 40 CAS 9004-54-0 CP2015 EP8.0 Especificación
Shanghai Ruifu Chemical Co., Ltd. es el fabricante líder de dextrano 40 (CAS: 9004-54-0) de alta calidad. Ruifu Chemical suministra dextrano desde hace más de 15 años. Ruifu Chemical puede ofrecer entregas en todo el mundo, precios competitivos y excelente servicio. Compra dextrano, Por favor contacte: alvin@ruifuchem.com
| Nombre químico | dextrano 40 |
| Sinónimos | dextrano 40000; dextrano D-40; Dextrano de molécula media |
| Estado del stock | En stock, producción comercial |
| Número CAS | 9004-54-0 |
| Fórmula molecular | [C6H10O5]n |
| Peso Molecular | Mw.=aprox. 40000 |
| Punto de fusión | 483 ℃ (descompensación) |
| pH al 1% Solución | 4,5 ~ 7,0 |
| Almacenar bajo gas inerte | Almacenar bajo gas inerte |
| sensible | higroscópico |
| Solubilidad en agua caliente | Casi transparencia |
| Solubilidad | Fácilmente soluble en agua caliente, insoluble en etanol |
| Estabilidad | Estable. Mantener seco. Incompatible con agentes oxidantes fuertes. |
| Temperatura de almacenamiento. | Lugar fresco y seco (2~8℃) |
| COA y MSDS | Disponible |
| Origen del producto | Shanghái, China |
| Categorías de productos | Carbohidratos Azúcares Polisacáridos |
| Marca | Química Ruifu |
| Artículos | Especificaciones | Resultados |
| Apariencia | Polvo Blanco; Inodoro, Insípido | Cumple |
| Solubilidad | Fácilmente soluble en agua caliente, insoluble en etanol | Cumple |
| Identificación | Según CP2015 | Reacción positiva |
| Rotación óptica específica | +190,0° ~ +200,0° | +195.0° |
| Metales pesados (plomo) | ≤8 ppm | <8 ppm |
| Pérdida por secado | ≤5,00% | 2,75% |
| Residuo en el encendido | ≤0,50% | 0,22% |
| Cloruro | ≤0,25% | <0,15% |
| nitrógeno | ≤0,007% | <0,005% |
| Distribución del peso molecular | Mw: 32000~42000 | 38254 |
| M10 | ≤120000 | 105582 |
| M90 | ≥5000 | 7286 |
| Conclusión | La prueba cumple con los requisitos de la norma CP2015. | |
| Artículos | Especificaciones |
| Apariencia | Polvo blanco o casi blanco |
| Molecular-Distribución de masa (Mw) | 35000~45000 |
| M10 | ≤110000 |
| M90 | ≥7000 |
| Solubilidad | Muy soluble en agua, muy ligeramente soluble en etanol (96 por ciento) |
| Aparición de la solución | Solución transparente e incolora |
| Identificación | |
| Rotación óptica específica | +195,0° ~ +201,0° (Sustancia seca) |
| Espectrofotometría de absorción infrarroja | Comparando con el espectro obtenido de Dextran CRS |
| Acidez / Alcalinidad | Reacción con fenolftaleína, NaOH y HCl. |
| nitrógeno | ≤110 ppm |
| Solventes residuales | |
| etanol | ≤0,50% |
| Metanol | ≤0,05% |
| Otros disolventes | ≤0,50% |
| Metales pesados | ≤10 ppm |
| Pérdida por secado | ≤7,00% (105±2℃ durante 5 horas) |
| Ceniza Sulfatada | ≤0,30% |
| Endotoxinas bacterianas | ≤10 UI/g |
| Contaminación microbiana | |
| TAMC | ≤100 UFC/g |
| Sin colibacilo | No detectado |
| Conclusión | La prueba cumple con los requisitos del estándar EP 8.0. |
Dextrano 40 inyectable
Dextranum 40 ad iniectabile
Definición
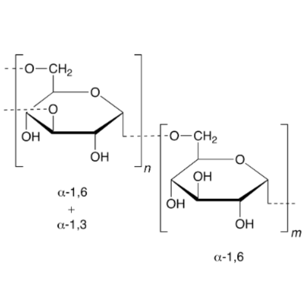
Mezcla de polisacáridos, principalmente del tipo α-1,6-glucano.
Masa molecular relativa media: alrededor de 40 000.
Producción
Se obtiene por hidrólisis y fraccionamiento de dextranos producidos por fermentación de sacarosa utilizando Leuconostoc mesenteroides cepa NRRL B-512 = CIP 78.59 o subcepas de la misma (por ejemplo L. mesenteroides B-512F = NCTC 10817).
Se prepara en condiciones diseñadas para minimizar el riesgo de contaminación microbiana.
Personajes
Aspecto: polvo blanco o casi blanco.
Solubilidad: muy soluble en agua, muy ligeramente soluble en etanol (96 por ciento).
Identificación
A. Rotación óptica específica (2.2.7): +195 a +201 (sustancia seca).
Disolver 1,0 g en agua R, calentar al baño María y diluir a 50,0 ml con el mismo disolvente.
B. Espectrofotometría de absorción infrarroja (2.2.24).
Comparación: Dextran CRS.
C. Distribución de masa molecular (ver Pruebas).
moscas tset
Solución S. Disolver 5,0 g en agua destilada R, calentar en baño María y diluir a 50 ml con el mismo disolvente.
Aspecto de la solución. La solución S es transparente (2.2.1) e incolora (2.2.2, Método II).
Acidez o alcalinidad. A 10 ml de solución S añadir 0,1 ml de solución de fenolftaleína R. La solución permanece incolora. Añadir 0,2 ml de hidróxido de sodio 0,01 M. La solución es roja. Añadir 0,4 ml de ácido clorhídrico 0,01 M. La solución es incolora. Agregue 0,1 ml de solución de rojo de metilo R. La solución es roja o naranja.
Sustancias que contienen nitrógeno: máximo 110 ppm N.
Realizar la determinación de nitrógeno por digestión con ácido sulfúrico (2.5.9), utilizando 0,200 gy calentando durante 2 h. Recoger el destilado en una mezcla de 0,5 ml de solución de verde de bromocresol R, 0,5 ml de solución de rojo de metilo R y 20 ml de agua R. Titular con ácido clorhídrico 0,01 M. No se requieren más de 0,15 ml de ácido clorhídrico 0,01 M para cambiar el color del indicador.
Disolventes residuales. Cromatografía de gases (2.2.28).
Estándar interno: propanpl R.
Solución de prueba. Disolver 5 g de la sustancia a examinar en 100 ml de agua R y destilar. Recoger los primeros 45ml del destilado, añadir 1ml de una solución de 25g/L de propanol R y diluir a 50ml con agua R.
Solución de referencia. Mezclar 0,5 ml de una solución de 25 g/l de etanol anhidro R, 0,5 ml de una solución de 25 g/l de propanol R y 0,5 ml de una solución de 2,5 g/l de metanol R y diluir a 25,0 ml con agua R.
Columna:
- material: acero inoxidable;
- tamaño: largo = 1,8 m, ø = 2 mm;
- Fase estacionaria: copolímero de etilvinilbenceno-divinilbenceno R (125-150μm).
Gas portador: nitrógeno para cromatografía R.
Caudal: 25 ml/min.
Temperatura:
- columna: 190 ℃;
- Puerto de inyección: 240 ℃
- detector: 210 ℃
Detección: ionización de llama.
Inyección: el volumen elegido de cada solución.
Límites:
- etanol: no más que el área del pico correspondiente en el cromatograma obtenido con la solución de referencia (0,5 por ciento);
- metanol: no más que el área del pico correspondiente en el cromatograma obtenido con la solución de referencia (0,05 por ciento);
- suma de disolventes distintos del etanol, metanol y propanol: no más que el área del pico debida al patrón interno (0,5 por ciento, calculado como propanol).
Distribución de masa molecular (2.2.39). La masa molecular promedio (M10) es de 35 000 a 45 000. La masa molecular promedio del 10 por ciento
la fracción alta no es superior a 110 000. La masa molecular promedio de la fracción baja al 10 por ciento no es inferior a 7 000.
Metales pesados (2.4.8): máximo 10 ppm.
12 ml de solución S cumplen con la prueba A. Preparar la solución de referencia utilizando solución estándar de plomo (1 ppm Pb)R.
Pérdida por desecación (2.2.32): máximo 7,0 por ciento, determinada en 0,200 g calentando en un horno a 105 ± 2 ℃ durante 5 horas.
Cenizas sulfatadas (2.4.14): máximo 0,3 por ciento, determinado sobre 0,50 g.
Endotoxinas bacterianas (2.6.14): menos de 10 UI/g.
Contaminación microbiana
TAMC: criterio de aceptación 100 UFC/g (2.6.12).
Paquete: Botella, bolsa de papel de aluminio, 20 kg/25 kg/tambor de cartón, o según los requisitos del cliente.
Almacenamiento: Mantenga el recipiente bien cerrado y guárdelo en un lugar fresco, seco (2~8 ℃) y bien ventilado. Mantener alejado de la luz del sol; evitar el fuego y las fuentes de calor; evitar la humedad. Incompatible con agentes oxidantes fuertes.
Envío:Entrega a todo el mundo por vía aérea, por FedEx / DHL Express. Proporcionar una entrega rápida y confiable.
¿Cómo comprar? Por favor contacteDr. Alvin Huang: sales@ruifuchem.com o alvin@ruifuchem.com
¿15 años de experiencia?Contamos con más de 15 años de experiencia en la fabricación y exportación de una amplia gama de productos químicos finos o intermedios farmacéuticos de alta calidad.
¿Principales mercados? Vender al mercado interno, América del Norte, Europa, India, Corea, Japón, Australia, etc.
¿Ventajas? Calidad superior, precio asequible, servicios profesionales y soporte técnico, entrega rápida.
Calidad Aseguramiento? Estricto sistema de control de calidad. Los equipos profesionales para análisis incluyen NMR, LC-MS, GC, HPLC, ICP-MS, UV, IR, OR, K.F, ROI, LOD, MP, claridad, solubilidad, prueba de límite microbiano, etc.
Muestras? La mayoría de los productos proporcionan muestras gratuitas para la evaluación de la calidad; el costo de envío debe ser pagado por los clientes.
Auditoría de fábrica? Bienvenida a la auditoría de fábrica. Por favor programe una cita con anticipación.
¿MOQ? Sin cantidad mínima de pedido. Se aceptan pedidos pequeños.
Tiempo de entrega? Si hay stock, entrega en tres días garantizada.
Transporte? Por expreso (FedEx, DHL), por aire, por mar.
¿Documentos? Servicio posventa: se pueden proporcionar COA, MOA, ROS, MSDS, etc.
Síntesis personalizada? Puede proporcionar servicios de síntesis personalizados que se adapten mejor a sus necesidades de investigación.
Condiciones de pago? La factura proforma se enviará primero después de la confirmación del pedido, adjuntando nuestros datos bancarios. Pago por T/T (Transferencia Télex), PayPal, Western Union, etc.
Códigos de Riesgo R20/21/22 - Nocivo por inhalación, en contacto con la piel y por ingestión.
R36/37/38 - Irrita los ojos, el sistema respiratorio y la piel.
Descripción de seguridad S24/25 - Evite el contacto con la piel y los ojos.
S37/39 - Úsense guantes adecuados y protección para los ojos y la cara.
S36 - Utilice ropa protectora adecuada.
S26 - En caso de contacto con los ojos, enjuagar inmediatamente con abundante agua y consultar a un médico.
WGK Alemania 2
RTECS HH9230000
MARCA FLUKA F CÓDIGOS 3
TSCA Sí
Código SA 3913900090
Dextran 40 (CAS: 9004-54-0) es un polisacárido complejo que se utiliza ampliamente en investigación científica y aplicaciones industriales. Es un polímero altamente ramificado formado por moléculas de glucosa y es producido por varias cepas bacterianas. El dextrano ha sido ampliamente estudiado por sus propiedades y posibles aplicaciones.
El dextrano se utiliza principalmente para la producción de inyección de dextrano 40, inyección de dextrano compuesto y otros derivados de dextrano. También se puede utilizar como cargas y excipientes en la preparación de polvo liofilizado.
El dextrano de bajo peso molecular es útil como estabilizador, extensor de volumen, lubricante, plataforma de unión y componente de matriz. Los dextranos de mayor peso molecular tienen diferentes viscosidades, propiedades de agregación y permeación.
Ruifu Chemical suministra dextrano desde hace más de 15 años.
El dextrano es un polímero soluble en agua compuesto de polisacáridos lineales y ramificados unidos por enlaces glicosídicos α-1,6-. El polímero está formado por moléculas de glucosa unidas entre sí mediante enlaces glicosídicos α-1,3, α-1,4 y α-1,6-. El dextrano es producido por varias cepas bacterianas, incluidas Leuconostoc mesenteroides, Streptococcus thermophilus, Lactobacillus brevis y otras. El dextrano fue identificado por primera vez en el siglo XIX por Louis Pasteur, quien observó una sustancia viscosa producida por bacterias.
El dextrano tiene un alto peso molecular y es un polímero altamente ramificado. Su peso molecular puede oscilar entre unos pocos miles y varios millones de Dalton. Es un polímero soluble en agua y muestra buena solubilidad en varios disolventes, incluidos agua, metanol, etanol y dimetilsulfóxido. El dextrano tiene una carga neutra y se utiliza a menudo como fuente de carbono y energía para las bacterias. Sus propiedades físicas y químicas varían según el grado de ramificación, el peso molecular y el método de producción.
El dextrano es producido por varias cepas bacterianas mediante la fermentación de fuentes de azúcar, como la sacarosa, la glucosa o la maltosa. La síntesis de dextrano implica la polimerización extracelular de moléculas de glucosa mediante la acción de enzimas dextransucrasas. El polímero resultante luego se exporta fuera de la célula bacteriana, donde forma una sustancia viscosa parecida a un gel. El dextrano se puede caracterizar mediante diversas técnicas analíticas, incluida la cromatografía de permeación en gel, la espectroscopia de RMN y la espectrometría de masas.
El dextrano es un polisacárido compuesto por moléculas de glucosa unidas entre sí en una estructura de cadena ramificada. Es producido por determinadas bacterias y es uno de los polisacáridos más abundantes en la naturaleza. El dextrano tiene una amplia gama de aplicaciones científicas. Se utiliza como herramienta de investigación en los campos de la bioquímica, la biomedicina y las ciencias de los alimentos. Se ha utilizado como estabilizador, aglutinante y emulsionante en diversos productos alimenticios. También se utiliza como sistema de administración de fármacos, como agente protector en aplicaciones médicas y como herramienta de investigación en muchas áreas de la ciencia. Se ha utilizado para estudiar la estructura y función de proteínas, carbohidratos y lípidos. También se ha utilizado para estudiar los mecanismos de acción de las enzimas y para investigar los efectos de diversos fármacos en los sistemas biológicos.
El dextrano tiene diversas aplicaciones en experimentos científicos, incluido el cultivo celular, la purificación de proteínas y la administración de fármacos. A menudo se utiliza como estabilizador de proteínas y enzimas y como crioprotector para prevenir daños por congelación. El dextrano también se puede utilizar como marcador de peso molecular en electroforesis en gel y como material de relleno en columnas de cromatografía.
El dextrano 40 (CAS: 9004-54-0) es un polisacárido compuesto de moléculas de glucosa unidas entre sí en una estructura de cadena ramificada. La estructura ramificada del dextrano le confiere una gran superficie, lo que le permite interactuar con otras moléculas del medio ambiente. Esta interacción es la base de su mecanismo de acción. Se une a moléculas como proteínas, carbohidratos y lípidos y puede actuar como agente protector o como sistema de administración de fármacos.
El dextrano 40 (CAS: 9004-54-0) tiene una variedad de efectos bioquímicos y fisiológicos. Puede actuar como agente protector, uniéndose a moléculas como proteínas, carbohidratos y lípidos, y evitando que se descompongan o desnaturalicen. También puede actuar como un sistema de administración de fármacos, permitiendo que los fármacos se liberen en el cuerpo de forma controlada. También se ha demostrado que tiene efectos antiinflamatorios y antimicrobianos, además de estimular el sistema inmunológico.




