Vardenafil Intermedio CAS 224789-21-3 Pureza >99,0% (HPLC)
Shanghai Ruifu Chemical Co., Ltd. es el fabricante líder de 2-(2-Etoxifenil)-5-Metil-7-Propilimidazo[5,1-F][1,2,4]triazin-4(3H)-ona (CAS: 224789-21-3) con vardenafil intermedio de alta calidad. Ruifu Chemical puede ofrecer entregas en todo el mundo, precios competitivos, excelente servicio y cantidades pequeñas y al por mayor disponibles. Comprar productos intermedios de vardenafil, Por favor contacte: alvin@ruifuchem.com
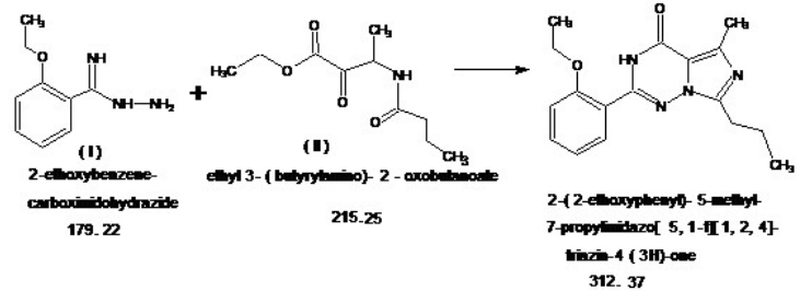
| Nombre químico | 2-(2-Etoxifenil)-5-Metil-7-Propilimidazo[5,1-F][1,2,4]triazin-4(3H)-ona |
| Sinónimos | Vardenafil Dessulfonyl Impureza; 2-(2-Etoxifenil)-5-Metil-7-Propil-3H-Imidazo[5,1-F][1,2,4]triazin-4-ona; Impureza de vardenafil propil imidazotriazinona; Compuesto relacionado 1 de vardenafil |
| Estado del stock | En stock, capacidad de producción 2 toneladas por mes |
| Número CAS | 224789-21-3 |
| Fórmula molecular | C17H20N4O2 |
| Peso Molecular | 312,37 g/mol |
| Punto de fusión | 142,0 ~ 148,0 ℃ |
| densidad | 1,26±0,10g/cm3 |
| Almacenamiento a largo plazo | Lugar fresco y seco (2~8℃) |
| COA y MSDS | Disponible |
| Origen | Shanghái, China |
| Marca | Química Ruifu |
| Artículos | Especificaciones | Resultados |
| Apariencia | Polvo blanquecino a amarillo pálido | Polvo blanquecino |
| Punto de fusión | 142,0 ~ 148,0 ℃ | 146,0~147,0℃ |
| Pérdida por secado | <1,00 % (102 ℃, 3 h) | 0,23% |
| Metales pesados (Pb) | ≤20 ppm | <20 ppm |
| Método de pureza/análisis | >99,0% (HPLC) | 99,79% |
| Espectro de RMN 1H | Consistente con la estructura | Cumple |
| Conclusión | El producto ha sido probado y cumple con las especificaciones dadas. | |
| Solicitud | Intermedio de vardenafil / clorhidrato de vardenafil | |
Paquete: Botella, bolsa de papel de aluminio, tambor de cartón de 25 kg o según los requisitos del cliente.
Condición de almacenamiento: Mantenga el recipiente bien cerrado y guárdelo en un lugar fresco, seco (2 ~ 8 ℃) y bien ventilado, lejos de sustancias incompatibles. Proteger de la luz solar y la humedad.
Envío:Entrega a todo el mundo por vía aérea, por FedEx / DHL Express. Proporcionar una entrega rápida y confiable.
1. Apariencia: Coloque la muestra sobre papel blanco y observe la apariencia, polvo de color blanquecino a amarillo pálido.
2. Análisis:
2.1 Determinación del punto de fusión según la ley (Farmacopea China 2010 Edición II Apéndice ⅥC) El punto de fusión es 142,0 ~ 148,0 ℃.
2.2 Pérdida por secado: Determinación según la ley (Apéndice ⅧL, Parte II, edición de 2010 de la Farmacopea China). Pesando con precisión la cantidad adecuada de este producto, seco a 102 ℃ durante 3 horas, la pérdida de peso no deberá ser superior al 1,00 %.
2.3 Metales pesados: Determinación según la ley (Farmacopea de la República Popular China Edición 2010, Parte II Apéndice ⅧH) Determinación por el segundo método.
Pesar con precisión 1,0 g del producto de prueba, quemarlo lentamente hasta que esté completamente carbonizado, enfriar, agregar 0,5-1,0 ml de ácido sulfúrico, humedecerlo, calentar a baja temperatura hasta que se agote el ácido sulfúrico, agregar 0,5 ml de ácido nítrico, secar con vapor hasta que se agote el vapor de óxido de nitrógeno, enfriar, calentar a 500-600 ℃ hasta que esté completamente carbonizado, enfriar, agregar 2 ml de ácido clorhídrico, después de secar en un baño de agua, agregar 15 ml de agua, deje caer la solución de prueba de amoníaco hasta que se vuelva neutra con respecto a la solución indicadora de fenolftaleína, agregue 2 ml de tampón acetato (ph 3,5) y disuélvalo ligeramente con calor, muévalo al tubo colorimétrico Nachner y dilúyalo en 25 ml con agua. Tome otro reactivo para preparar la solución de prueba y cocínelo al vapor en un plato de porcelana, agregue 2 ml de tampón acetato (PH3,5) y 15 ml de agua para calentar ligeramente. Después de la disolución, mueva el tubo colorimétrico Nath, agregue una cierta cantidad de solución de plomo estándar y luego diluya con agua a 25 ml. Se realiza un experimento colorimétrico entre la solución de prueba y la solución estándar para obtener. Preparación de la solución estándar de acuerdo con (Farmacopea de la República Popular China, edición de 2010, Apéndice Ⅷ Método de prueba de metales pesados) el primer método. Los metales pesados no deben exceder las 20 partes por millón.
3. Pureza: Según cromatografía líquida de alta resolución, determinada según ley (Farmacopea China 2010 edición II Apéndice VD).
Condiciones cromatográficas:
Columna: C18, 200 mm × 4,6 mm, 5 μm;
Fase móvil: Tampón fosfato (pesar 2,72 g de dihidrógenofosfato de potasio, añadir agua para disolver y diluir a 1000 ml, ajustar el pH = 3,5): acetonitrilo: = 35:65;
Longitud de onda de detección: 254 nm;
Caudal: 1,0 ml/min.
Método de determinación: Tome aproximadamente 30 mg de este producto, péselo con precisión, dilúyalo con fase móvil para obtener una concentración de aproximadamente 0,3 mg/ml, tome 20 μl en el cromatógrafo líquido y registre el cromatograma. Según el método de normalización de áreas, la pureza no es inferior al 99,0%.
¿Cómo comprar? Por favor contacteDr. Alvin Huang: sales@ruifuchem.com o alvin@ruifuchem.com
¿15 años de experiencia?Contamos con más de 15 años de experiencia en la fabricación y exportación de una amplia gama de productos químicos finos o intermedios farmacéuticos de alta calidad.
¿Principales mercados? Vender al mercado interno, América del Norte, Europa, India, Corea, Japón, Australia, etc.
¿Ventajas? Calidad superior, precio asequible, servicios profesionales y soporte técnico, entrega rápida.
Calidad Aseguramiento? Estricto sistema de control de calidad. Los equipos profesionales para análisis incluyen NMR, LC-MS, GC, HPLC, ICP-MS, UV, IR, OR, K.F, ROI, LOD, MP, claridad, solubilidad, prueba de límite microbiano, etc.
Muestras? La mayoría de los productos proporcionan muestras gratuitas para la evaluación de la calidad; el costo de envío debe ser pagado por los clientes.
Auditoría de fábrica? Bienvenida a la auditoría de fábrica. Por favor programe una cita con anticipación.
¿MOQ? Sin cantidad mínima de pedido. Se aceptan pedidos pequeños.
Tiempo de entrega? Si hay stock, entrega en tres días garantizada.
Transporte? Por expreso (FedEx, DHL), por aire, por mar.
¿Documentos? Servicio posventa: se pueden proporcionar COA, MOA, ROS, MSDS, etc.
Síntesis personalizada? Puede proporcionar servicios de síntesis personalizados que se adapten mejor a sus necesidades de investigación.
Condiciones de pago? La factura proforma se enviará primero después de la confirmación del pedido, adjuntando nuestros datos bancarios. Pago por T/T (Transferencia Télex), PayPal, Western Union, etc.
2-(2-Etoxifenil)-5-Metil-7-Propilimidazo[5,1-F][1,2,4]triazin-4(3H)-ona (CAS: 224789-21-3) es un intermedio de Vardenafil (CAS: 224785-90-4) / Clorhidrato de vardenafil (CAS: 224785-91-5). Vardenafil es un nuevo inhibidor de la PDE5 lanzado para el tratamiento oral de la disfunción eréctil masculina y tiene una similitud estructural significativa con el sildenafilo (Viagra), que fue el primer inhibidor de la PDE5 introducido en 1998 para esta indicación.
Vardenafil fue el segundo agente comercializado y tenía la ventaja de que su tiempo de acción no se reducía al tomar el medicamento con el estómago lleno. Es 30 veces más potente como inhibidor de la PDE5 (IC50 media, 3,9 nM) que el sildenafil y 10 veces más potente que el tadalafil, con una mayor selectividad (>1000 veces) para la PDE5 humana que para la PDE2, PDE3 y PDE4 humanas y una selectividad moderada (>80 veces) para la PDE1. La selectividad inhibidora de la PDE y la potencia tanto in vitro como in vivo del nuevo inhibidor de la PDE5, vardenafil. Vardenafil inhibió específicamente la hidrólisis de cGMP por PDE5, con una IC50 de 0,7 nM (sildenafil 6,6 nM). La CI50 de vardenafilo para PDE1 fue de 180 nM, para PDE6 de 11 nM y para PDE2, PDE3 y PDE4 de más de 1.000 nM.





