5(4)-Amino-4(5)-Clorhidrato de imidazolcarboxamida CAS 72-40-2 Dacarbazina y temozolomida Intermedio Alta calidad
Fabricante con alta pureza y producción comercial.
Suministro de temozolomida e intermedios relacionados:
Temozolomida CAS: 85622-93-1
4(5)-Amino-5(4)-Imidazolcarboxamida CAS: 360-97-4
5(4)-Amino-4(5)-Clorhidrato de imidazolcarboxamida CAS: 72-40-2
| Nombre químico | 5(4)-Amino-4(5)-Clorhidrato de imidazolcarboxamida |
| Sinónimos | 5(4)-Amino-4(5)-Clorhidrato de (aminocarbonil)imidazol |
| Número CAS | 72-40-2 |
| Número de gato | RF-PI239 |
| Estado del stock | En stock, la producción aumenta hasta toneladas |
| Fórmula molecular | C4H7ClN4O |
| Peso Molecular | 162,58 |
| Marca | Química Ruifu |
| Artículo | Especificaciones |
| Apariencia | Blanco a blanquecino-Polvo cristalino |
| Pérdida por secado | ≤0,50% |
| Punto de fusión | 249,5 ~ 252,5 ℃ |
| Metales pesados | ≤20 ppm |
| Solubilidad (5% en agua) | Borrar |
| Ensayo | ≥98,5% (AgNO3, titulación) |
| Estándar de prueba | Estándar empresarial |
| Uso | Intermedios Farmacéuticos; Síntesis Orgánica |
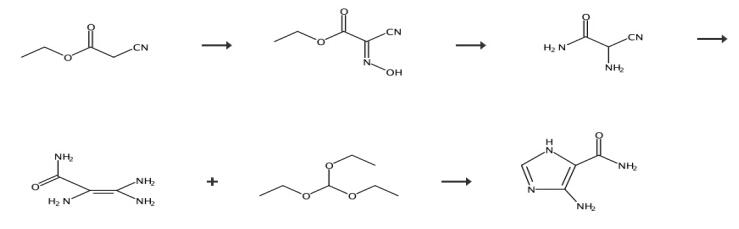
5(4)-Amino-4(5)-Clorhidrato de imidazolcarboxamida (CAS: 72-40-2) Ruta sintética
Paquete: Botella, bolsa de papel de aluminio, tambor de cartón, 25 kg/tambor, o según los requisitos del cliente.
Condición de almacenamiento:Almacenar en recipientes sellados en lugar fresco y seco; Proteger de la luz, la humedad y las plagas.


Shanghai Ruifu Chemical Co., Ltd. es el principal fabricante y proveedor de clorhidrato de 5(4)-Amino-4(5)-imidazolcarboxamida (CAS: 72-40-2) con alta calidad. 5(4)-Amino-4(5)-clorhidrato de imidazolcarboxamida (CAS: 72-40-2) es un intermediario típico en la síntesis de dacarbazina (CAS: 4342-03-4) y temozolomida (CAS: 85622-93-1).
El clorhidrato de 5-amino-4-imidazolcarboxamida también es un precursor de la síntesis de ácidos nucleicos.
La temozolomida (TMZ) (CAS: 85622-93-1) es un agente alquilante oral que se usa para tratar el glioblastoma multiforme (GBM) y los astrocitomas y el melanoma metastásico.





