3-Tiofenoetanol CAS 13781-67-4 Pureza >99,0% (GC) Producto principal de fábrica
Suministro del fabricante, alta pureza, producción comercial.
Nombre químico: 3-Tiofenetanol CAS: 13781-67-4
| Nombre químico | 3-tiofenetanol |
| Sinónimos | Tiofeno-3-Etanol; 3-(2-Hidroxietil)tiofeno; 2-(3-Tienil)etanol; 2-(tiofen-3-il)etanol |
| Número CAS | 13781-67-4 |
| Número de gato | RF-PI1001 |
| Estado del stock | En stock, la producción aumenta hasta toneladas |
| Fórmula molecular | C6H8OS |
| Peso Molecular | 128.19 |
| Punto de ebullición | 110,0~111,0 ℃/14 mm Hg (iluminado) |
| densidad | 1,144 g/ml a 25 ℃ (lit.) |
| Índice de refracción | n20/D 1.552 (iluminado) |
| Marca | Química Ruifu |
| Artículo | Especificaciones |
| Apariencia | Líquido transparente incoloro o amarillo claro |
| Método de pureza/análisis | >99,0% (GC) |
| 2-Tiofenoetanol | <1,0% |
| El tiempo de retención 8.335min | |
| Contenido de agua (K.F) | ≤0,50% |
| Impurezas totales | <1,0% |
| Estándar de prueba | Estándar empresarial |
| Uso | Intermedios farmacéuticos |
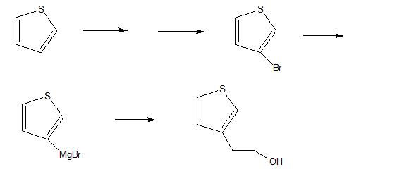
3-Tiofenoetanol (CAS: 13781-67-4) Ruta sintética
Paquete: Botella, 25kg/Barril, o según requerimiento del cliente.
Condición de almacenamiento:Almacenar en recipientes sellados en lugar fresco y seco; Proteger de la luz y la humedad.


3-El tiofenoetanol (CAS: 13781-67-4) se utiliza como reactivo en la síntesis de nanopartículas poliméricas conjugadas que emiten infrarrojos cercanos y sensibles al pH para la obtención de imágenes celulares y la administración controlada de fármacos. 3-El tiofenoetanol también se utiliza como reactivo en la preparación de potentes inhibidores de la ARN polimerasa del virus respiratorio sincitial.





