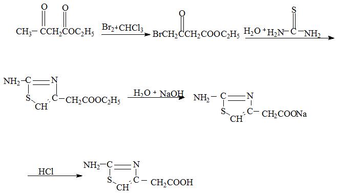
Ácido (2-Amino-4-tiazolil)acético (ATAA) CAS 29676-71-9 Pureza >99,5% (HPLC) Fábrica intermedia de cefotiam
Suministro del fabricante con producción comercial de alta calidad.
Nombre químico: Ácido (2-Amino-4-tiazolil)acético CAS: 29676-71-9
| Nombre químico | Ácido (2-amino-4-tiazolil)acético |
| Sinónimos | ATAA; Ácido (2-aminotiazol-4-il)acético; 2-Aminotiazol-4-Ácido acético; 2-Amino-4-Ácido tiazol acético |
| Número CAS | 29676-71-9 |
| Número de gato | RF-PI1112 |
| Estado del stock | En stock, la producción aumenta hasta toneladas |
| Fórmula molecular | C5H6N2O2S |
| Peso Molecular | 158,18 |
| Marca | Química Ruifu |
Paquete: Botella, Bolsa de papel de aluminio, 25kg/Bidón de cartón, o según requerimiento del cliente.
Condición de almacenamiento:Almacenar en recipientes sellados en lugar fresco y seco; Proteger de la luz y la humedad.


El ácido (2-amino-4-tiazolil)acético (CAS: 29676-71-9) se puede utilizar como intermediario de Cefotiam. Cefotiam es un cefalospo betalactámico de tercera generación en antibióticos, es activo contra un amplio espectro de bacterias Gram positivas y Gram negativas. Una cefalosporina semisintética formulada como diclorhidrato para inyección y como éster de profármaco, cefotiam hexetilo, para administración oral. La actividad es similar a la de la cefuroxima, pero es algo más activa contra una variedad de enterobacterias.





